Derivada de orden superior
Esther Alvarez Sat Nov 11th, 23
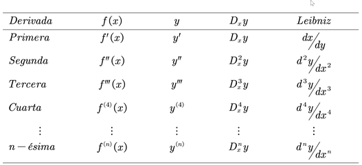
Definición
Calcular la derivada de una función f, produce otra función que corresponde a la derivada de f y se representa como Dx f(x) o f’. A este procedimiento se le llama derivación y la nueva función es la primera derivada de f.
Las derivadas de orden superior son usadas para el cálculo de máximos o mínimos en problemas de aplicación u optimización. Otro de los usos de las derivadas de orden superior es en la búsqueda de la concavidad y el cálculo de los puntos de inflexión para lo cual se requiere de la segunda derivada.
| ![]() |
| ![]() |
- El proceso de hallar derivadas, una tras otra, se llama derivadas sucesivas.
| ![]() |
Las derivadas sucesivas son interesantes porque nos brindan información de algún problema en particular con aplicación en la física, mecánica, economía, medicina, análisis de circuitos, etc.
La segunda derivada de una función es utilizada en el Cálculo Diferencial en las aplicaciones de la derivada para obtener concavidades en las funciones, puntos de inflexión, máximos y mínimos que aportan información importante que podremos observar en las gráficas de las funciones.
Con la segunda derivada también podremos evaluar si existen máximos y mínimos en problemas prácticos, y poder tomar decisiones en cuanto el criterio a utilizar.
Ejemplo de calcular la sétima derivada . Es necesario calcular las primeras seis derivadas antes de calcular la séptima.
Usos de las funciones de orden superior
- Definición de patrones de programación.
- Aplicación de una función a todos los elementos de una lista.
- Filtrado de listas por propiedades.
- Patrones de recursión sobre listas.
- Diseño de lenguajes de dominio específico:
- Lenguajes para procesamiento de mensajes.
- Analizadores sintácticos.
- Procedimientos de entrada/salida.
- Uso de las propiedades algebraicas de las funciones de orden superior para razonar sobre programas.





Comentarios
Publicar un comentario